TECHNO CHEMICAL corp.
生化学・免疫学等の研究用試薬及び関連機器輸入販売
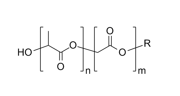
| Poly(D,L-lactide-co-glycolide), 50:50, IV 1.0 dl/g | ||
![]() Poly(DL-lactide-co-glycolide) (PLGA) is a well-established biodegradable polymer used in medical devices and drug delivery applications. In comparison to poly(L-lactide) (PLLA), PLGA offers control over degredation rate and reduced glass transition temperatures (by increasing glycolide content).1 The control of these properties makes PLGA especially well suited for applications where medical devices are only needed for weeks (e.g. drug Synonyms: PDLGA, PLGA, DL-PLGA 1. Middleton, John C., and Arthur J. Tipton. 2000. "Synthetic Biodegradable Polymers as Orthopedic Devices.” Biomaterials 21 (23): 2335 - 46. doi:10.1016/S0142-9612(00)00101-0. 2. Grayson, Amy C Richards, Insung S Choi, Betty M Tyler, Paul P Wang, Henry Brem, Michael J Cima, and Robert Langer. 2003. “Multi-Pulse Drug Delivery from a Resorbable Polymeric Microchip Device.” Nature Materials 2 (11). Nature Publishing Group: 767 - 72. doi:10.1038/nmat998. 3. Dawes, G J S, L E Fratila-Apachitei, K Mulia, I Apachitei, G-J Witkamp, and J Duszczyk. 2009. “Size Effect of PLGA Spheres on Drug Loading Efficiency and Release Profiles.” Journal of Materials Science: Materials in Medicine 20 (5). Springer: 1089 - 94. doi:10.1007/s10856-008-3666-0. SpecificationsInherent Viscosity (ηinh): 0.80 - 1.20 dL/g PropertiesSoluble in: dichloromethane (DCM), tetrahydrofuran (THF), ethyl acetate, acetone {{block type="cms/block" block_id="product-css-temp" template="cms/content.phtml"}} : | ||
| Cat.# | 容量 | 定価 |
|---|---|---|
| 23987-1 | 1 g | ¥16,800 |
| 23987-5 | 5 g | ¥57,000 |
| 保管温度&取扱: | -20℃冷凍保管、湿気遮断 |
〒113-0021 東京都文京区本駒込1-27-9 TEL 03-3947-7310 FAX 03-3947-7306 |
